đ Articles
Run
Login

You Dont Have to Be Pretty â A Dress A Day

A clean start for the web - macwright.com

Studien zu Facebook und Instagram: Algorithmen rĂźtteln kaum an politischen Einstellungen

We Are All Animals at Night | Hazlitt

Ask vs guess culture - by Jean Hsu - Tech and Tea

CRDT: Conflict-free Replicated Data Types | by Anton Zagorskii | Medium

We Are Witnessing the First Stages of Civilizationâs Collapse | The Nation

We donât need deep-sea mining

E.W. Dijkstra Archive: How do we tell truths that might hurt? (EWD498)

E.W. Dijkstra Archive: Why numbering should start at zero (EWD 831)

E.W.Dijkstra Archive: On the foolishness of "natural language programming". (EWD 667)

Hollywoodâs Eat-the-Rich Satires Should Have Sharper Teeth | Vanity Fair
Efficient Editing With vim
Error Handling In Zig

Everyone Is Beautiful and No One Is Horny - Blood Knife
Front-end Practices That Changed My Life - DEV Community

On Heteropessimism â The New Inquiry

How Did The World Get So Ugly?

How Figmaâs multiplayer technology works | Figma Blog

Last year my mind exploded and now I'm in spiritual puberty again

Lena @ Things Of Interest

Weâre All Preppers Now | Live Like the World is Dying

Mental Wealth â James Beshara

My six stages of learning to be a socially normal person
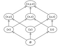
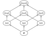
Peritext: A CRDT for Rich-Text Collaboration

Recreating Noita's Sand Simulation in C and OpenGL | Game Engineering
Recreating Noitas Sand Simulation in C and OpenGL | Game Engineering
S.O.L.I.D. Principles Around You - DEV Community
Slavoj ŽiŞek: Don't Act. Just Think. | Big Think

Slavoj ŽiŞek: Don't Act. Just Think. | Big Think

Solving Every Sudoku Puzzle

Jorge Luis Borges: The Aleph

The Secretive Company That Might End Privacy as We Know It - The New York Times

The Future of Design Systems is Semantic | Figma Blog

The House that was Perfect in Every Way but One

The Strange Case of Dr. Ho Man Kwok | Colgate Magazine

The Submarine

Ultimate Vim TypeScript Setup. How and why to use Vim for TypeScript⌠| by Nikola Äuza | The Startup | Medium

Values, Types, and Operators :: Eloquent JavaScript

WSL2, zsh, and docker. Linux through Windows. | Nicky blogs

Why Queer & LGBTQ People Love Witchcraft

Addiction Markets: Abolish Corporate-Run Gambling

Chemistry of Cast Iron Seasoning: A Science-Based How-To | Sheryls Blog
Cynefin-Framework â Wikipedia

Dating: A mysterious constellation of facts

The Aleph

San Francisco homelessness: Park ranger helps one person at a time
The Submarine

The Technium: 50 Years of Travel Tips